Volkswirtschaftsdirektion
Portrait
Aabachstrasse 5
Postfach
6301 Zug
Tel. +41 41 594 55 55
info.vds@zg.ch
zg.ch/volkswirtschaft
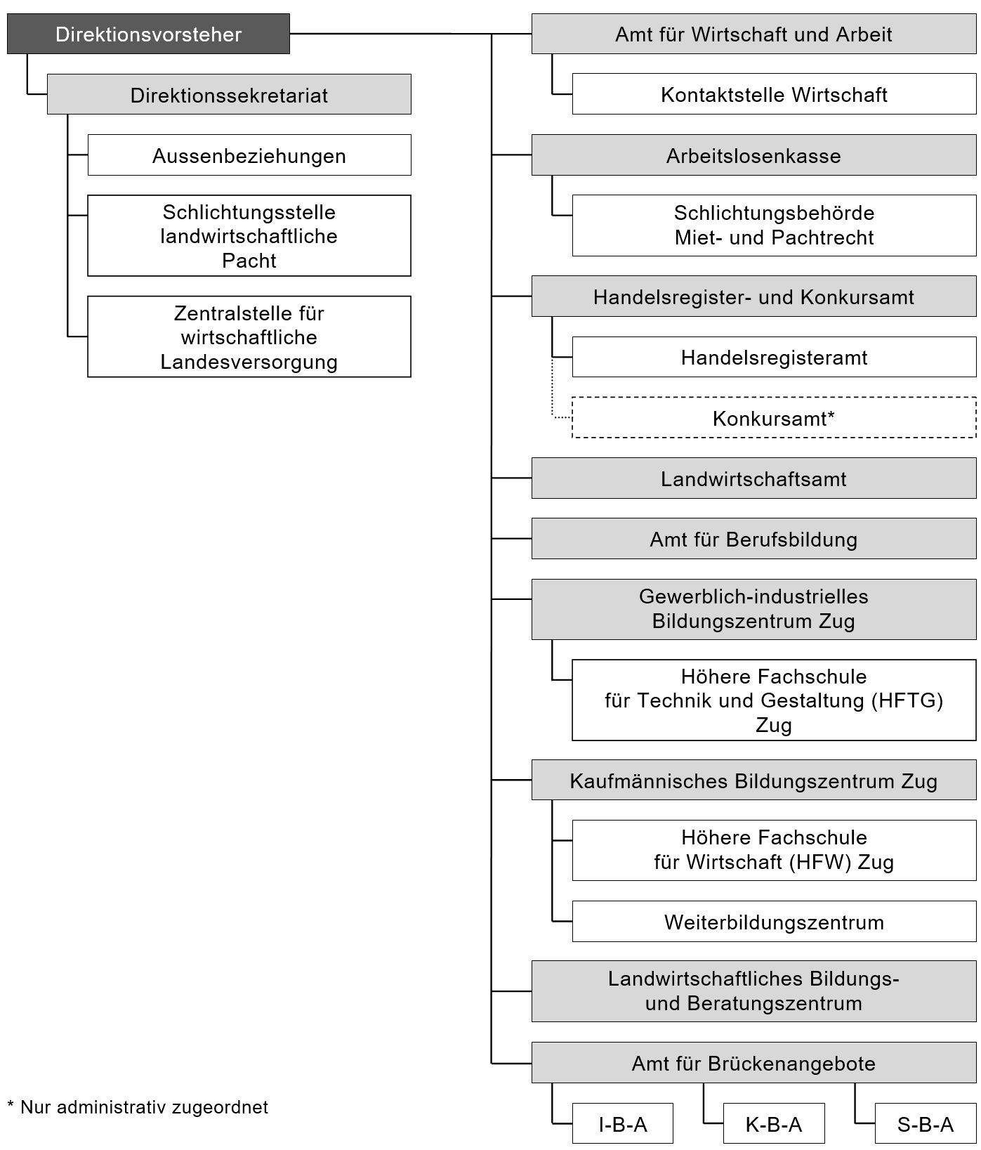
Unterorganisationen
- Direktionssekretariat
- Amt für Wirtschaft und Arbeit
- Arbeitslosenkasse
- Handelsregister- und Konkursamt
- Landwirtschaftsamt
- Amt für Berufsbildung
- Gewerblich-industrielles Bildungszentrum Zug
- Kaufmännisches Bildungszentrum Zug
- Landwirtschaftliches Bildungs- und Beratungszentrum
- Amt für Brückenangebote
Personen
Exporte
Änderungen
Über das Kontaktformular können Änderungen zu inkorrekten Angaben der verzeichneten Personen oder Organisationen gemeldet werden. Das Formular dient nicht zur Kontaktaufnahme mit den jeweiligen Personen und Organisationen oder zur Übermittlung von Nachrichten an diese.
Mutation melden